



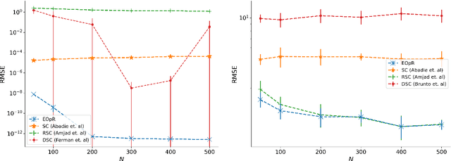
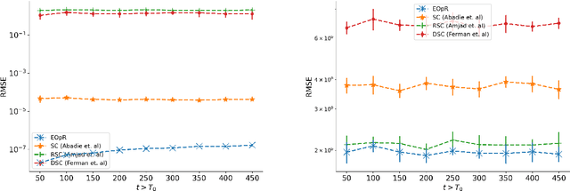
It is crucial to successfully quantify causal effects of a policy intervention to determine whether the policy achieved the desired outcomes. We present a deterministic approach to a classical method of policy evaluation, synthetic control (Abadie and Gardeazabal, 2003), to estimate the unobservable outcome of a treatment unit using ellipsoidal optimal recovery (EOpR). EOpR provides policy evaluators with "worst-case" outcomes and "typical" outcomes to help in decision making. It is an approximation-theoretic technique that also relates to the theory of principal components, which recovers unknown observations given a learned signal class and a set of known observations. We show that EOpR can improve pre-treatment fit and bias of the post-treatment estimation relative to other econometrics methods. Beyond recovery of the unit of interest, an advantage of EOpR is that it produces worst-case estimates over the estimations produced by the recovery. We assess our approach on artificially-generated data, on datasets commonly used in the econometrics literature, and also derive results in the context of the COVID-19 pandemic. Such an approach is novel in the econometrics literature for causality and policy evaluation.