



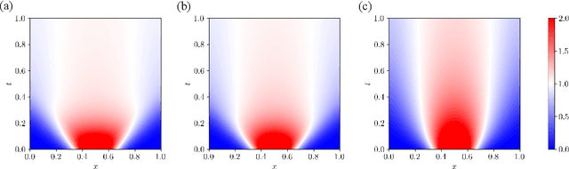
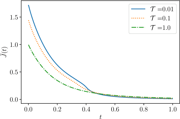
Swarm robot systems, in which many robots cooperate to perform one task, have attracted a great of attention in recent years. In controlling these systems, the trade-off between the global optimality and the scalability is a major challenge. In the present paper, we focus on the mean field game (MFG) as a possible control method for swarm robot systems. The MFG is a framework to deduce a macroscopic model for describing robot density profiles from the microscopic robot dynamics. For a coverage control problem aiming at uniformly distributing robots over space, we extend the original MFG in order to present two methods for optimally controlling swarm robots: the model predictive mean field game (MP-MFG) and the best reply strategy (BRS). Importantly, the MP-MFG converges to the BRS in the limit of prediction time going to zero, which is also confirmed by our numerical experiments. In addition, we show numerically that the optimal input is obtained in both the MP-MFG and the BRS, and widening the prediction time of the MP-MFG improves the control performance.