



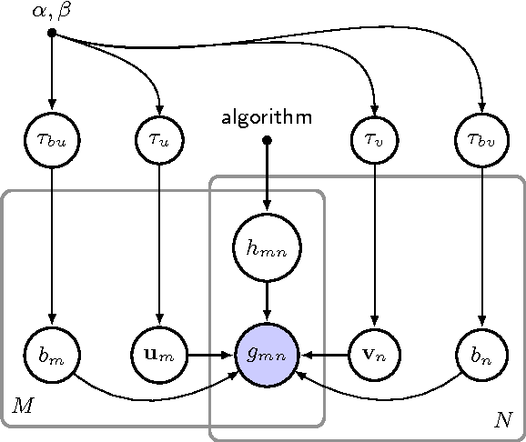
The bane of one-class collaborative filtering is interpreting and modelling the latent signal from the missing class. In this paper we present a novel Bayesian generative model for implicit collaborative filtering. It forms a core component of the Xbox Live architecture, and unlike previous approaches, delineates the odds of a user disliking an item from simply not considering it. The latent signal is treated as an unobserved random graph connecting users with items they might have encountered. We demonstrate how large-scale distributed learning can be achieved through a combination of stochastic gradient descent and mean field variational inference over random graph samples. A fine-grained comparison is done against a state of the art baseline on real world data.