



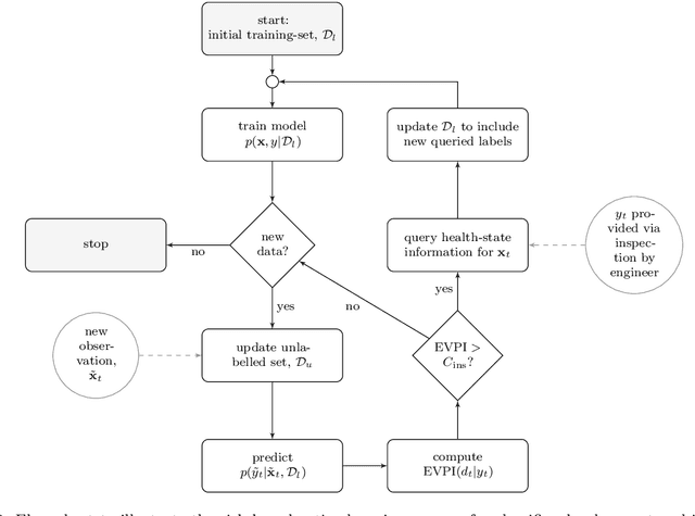
Classification models are a fundamental component of physical-asset management technologies such as structural health monitoring (SHM) systems and digital twins. Previous work introduced \textit{risk-based active learning}, an online approach for the development of statistical classifiers that takes into account the decision-support context in which they are applied. Decision-making is considered by preferentially querying data labels according to \textit{expected value of perfect information} (EVPI). Although several benefits are gained by adopting a risk-based active learning approach, including improved decision-making performance, the algorithms suffer from issues relating to sampling bias as a result of the guided querying process. This sampling bias ultimately manifests as a decline in decision-making performance during the later stages of active learning, which in turn corresponds to lost resource/utility. The current paper proposes two novel approaches to counteract the effects of sampling bias: \textit{semi-supervised learning}, and \textit{discriminative classification models}. These approaches are first visualised using a synthetic dataset, then subsequently applied to an experimental case study, specifically, the Z24 Bridge dataset. The semi-supervised learning approach is shown to have variable performance; with robustness to sampling bias dependent on the suitability of the generative distributions selected for the model with respect to each dataset. In contrast, the discriminative classifiers are shown to have excellent robustness to the effects of sampling bias. Moreover, it was found that the number of inspections made during a monitoring campaign, and therefore resource expenditure, could be reduced with the careful selection of the statistical classifiers used within a decision-supporting monitoring system.