



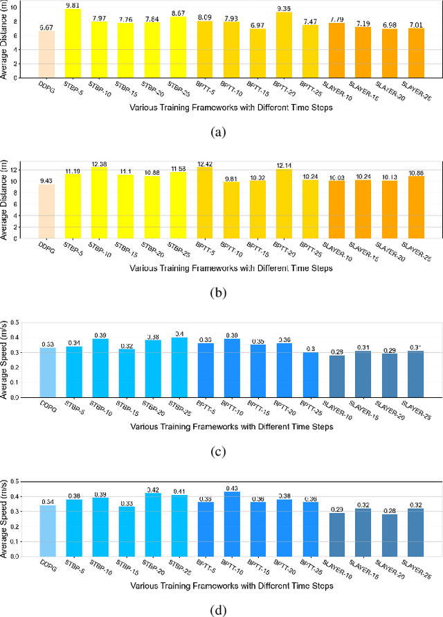
Traditional visual navigation methods of micro aerial vehicle (MAV) usually calculate a passable path that satisfies the constraints depending on a prior map. However, these methods have issues such as high demand for computing resources and poor robustness in face of unfamiliar environments. Aiming to solve the above problems, we propose a neuromorphic reinforcement learning method (Neuro-Planner) that combines spiking neural network (SNN) and deep reinforcement learning (DRL) to realize MAV 3D visual navigation with depth camera. Specifically, we design spiking actor network based on two-state LIF (TS-LIF) neurons and its encoding-decoding schemes for efficient inference. Then our improved hybrid deep deterministic policy gradient (HDDPG) and TS-LIF-based spatio-temporal back propagation (STBP) algorithms are used as the training framework for actor-critic network architecture. To verify the effectiveness of the proposed Neuro-Planner, we carry out detailed comparison experiments with various SNN training algorithm (STBP, BPTT and SLAYER) in the software-in-the-loop (SITL) simulation framework. The navigation success rate of our HDDPG-STBP is 4.3\% and 5.3\% higher than that of the original DDPG in the two evaluation environments. To the best of our knowledge, this is the first work combining neuromorphic computing and deep reinforcement learning for MAV 3D visual navigation task.