



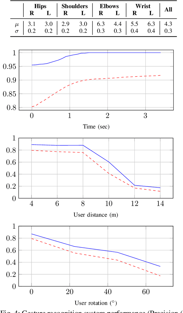
We propose a novel low-complexity lidar gesture recognition system for mobile robot control robust to gesture variation. Our system uses a modular approach, consisting of a pose estimation module and a gesture classifier. Pose estimates are predicted from lidar scans using a Convolutional Neural Network trained using an existing stereo-based pose estimation system. Gesture classification is accomplished using a Long Short-Term Memory network and uses a sequence of estimated body poses as input to predict a gesture. Breaking down the pipeline into two modules reduces the dimensionality of the input, which could be lidar scans, stereo imagery, or any other modality from which body keypoints can be extracted, making our system lightweight and suitable for mobile robot control with limited computing power. The use of lidar contributes to the robustness of the system, allowing it to operate in most outdoor conditions, to be independent of lighting conditions, and for input to be detected 360 degrees around the robot. The lidar-based pose estimator and gesture classifier use data augmentation and automated labeling techniques, requiring a minimal amount of data collection and avoiding the need for manual labeling. We report experimental results for each module of our system and demonstrate its effectiveness by testing it in a real-world robot teleoperation setting.