



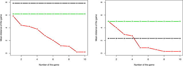
We propose to use a supervised machine learning technique to track the location of a mobile agent in real time. Hidden Markov Models are used to build artificial intelligence that estimates the unknown position of a mobile target moving in a defined environment. This narrow artificial intelligence performs two distinct tasks. First, it provides real-time estimation of the mobile agent's position using the forward algorithm. Second, it uses the Baum-Welch algorithm as a statistical learning tool to gain knowledge of the mobile target. Finally, an experimental environment is proposed, namely a video game that we use to test our artificial intelligence. We present statistical and graphical results to illustrate the efficiency of our method.