



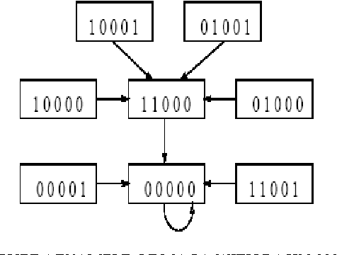
CA has grown as potential classifier for addressing major problems in bioinformatics. Lot of bioinformatics problems like predicting the protein coding region, finding the promoter region, predicting the structure of protein and many other problems in bioinformatics can be addressed through Cellular Automata. Even though there are some prediction techniques addressing these problems, the approximate accuracy level is very less. An automated procedure was proposed with MACA (Multiple Attractor Cellular Automata) which can address all these problems. The genetic algorithm is also used to find rules with good fitness values. Extensive experiments are conducted for reporting the accuracy of the proposed tool. The average accuracy of MACA when tested with ENCODE, BG570, HMR195, Fickett and Tongue, ASP67 datasets is 78%.