



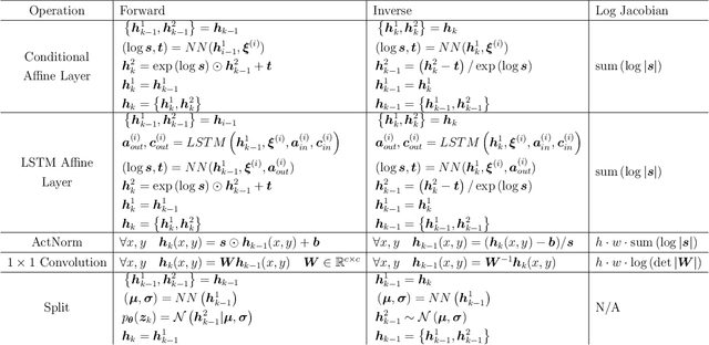
In computational fluid dynamics, there is an inevitable trade off between accuracy and computational cost. Low-fidelity simulations with coarse discretizations are computationally inexpensive, however, the resulting flow fields are often inaccurate. Alternatively, high-fidelity simulations can yield accurate predictions but at exponentially higher computational cost. In this work, a novel multi-fidelity deep generative model is introduced for the surrogate modeling of high-fidelity turbulent flow fields given the solution of a computationally inexpensive but inaccurate low-fidelity solver. The resulting surrogate is able to generate physically accurate turbulent realizations at a computational cost magnitudes lower than that of a high-fidelity simulation. The deep generative model developed is a conditional invertible neural network, built with normalizing flows, with recurrent LSTM connections that allow for stable training of transient systems with high predictive accuracy. The model is trained with a variational loss that combines both data-driven and physics-constrained learning. This deep generative model is applied to non-trivial high Reynolds number flows governed by the Navier-Stokes equations including turbulent flow over a backwards facing step at different Reynolds numbers and turbulent wake behind an array of bluff bodies. For both of these examples, the model is able to generate unique yet physically accurate turbulent fluid flows conditioned on an inexpensive low-fidelity solution.