



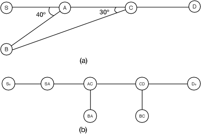
In this paper, we propose a new method for path planning to a point for robot in environment with obstacles. The resulting algorithm is implemented as a simple variation of Dijkstra's algorithm. By adding a constraint to the shortest-path, the algorithm is able to exclude all the paths between two points that violate the constraint.This algorithm provides the robot the possibility to move from the initial position to the final position (target) when we have enough samples in the domain. In this case the robot follows a smooth path that does not fall in to the obstacles. Our method is simpler than the previous proposals in the literature and performs comparably to the best methods, both on simulated and some real datasets.