



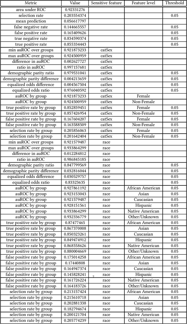
This work proposes a fairness monitoring approach for machine learning models that predict patient mortality in the ICU. We investigate how well models perform for patient groups with different race, sex and medical diagnoses. We investigate Documentation bias in clinical measurement, showing how fairness analysis provides a more detailed and insightful comparison of model performance than traditional accuracy metrics alone.