



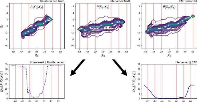
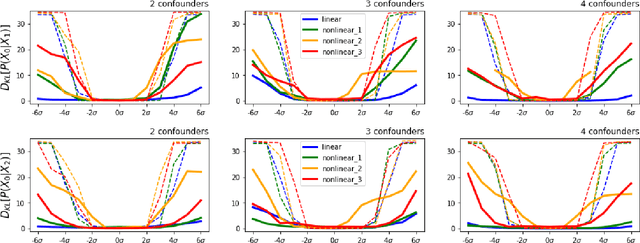
In this note we explore a fully unsupervised deep-learning framework for simulating non-linear structural equation models from observational training data. The main contribution of this note is an architecture for applying moment-matching loss functions to the edges of a causal Bayesian graph, resulting in a generative conditional-moment-matching graph-neural-network. This framework thus enables automated sampling of latent space conditional probability distributions for various graphical interventions, and is capable of generating out-of-sample interventional probabilities that are often faithful to the ground truth distributions well beyond the range contained in the training set. These methods could in principle be used in conjunction with any existing autoencoder that produces a latent space representation containing causal graph structures.