



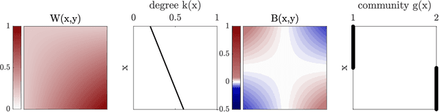
Networks are a widely-used tool to investigate the large-scale connectivity structure in complex systems and graphons have been proposed as an infinite size limit of dense networks. The detection of communities or other meso-scale structures is a prominent topic in network science as it allows the identification of functional building blocks in complex systems. When such building blocks may be present in graphons is an open question. In this paper, we define a graphon-modularity and demonstrate that it can be maximised to detect communities in graphons. We then investigate specific synthetic graphons and show that they may show a wide range of different community structures. We also reformulate the graphon-modularity maximisation as a continuous optimisation problem and so prove the optimal community structure or lack thereof for some graphons, something that is usually not possible for networks. Furthermore, we demonstrate that estimating a graphon from network data as an intermediate step can improve the detection of communities, in comparison with exclusively maximising the modularity of the network. While the choice of graphon-estimator may strongly influence the accord between the community structure of a network and its estimated graphon, we find that there is a substantial overlap if an appropriate estimator is used. Our study demonstrates that community detection for graphons is possible and may serve as a privacy-preserving way to cluster network data.