


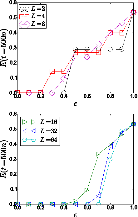
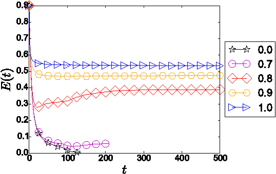
This work develops a computational model (by Automata Networks) of phonological similarity effects involved in the formation of word-meaning associations on artificial populations of speakers. Classical studies show that in recalling experiments memory performance was impaired for phonologically similar words versus dissimilar ones. Here, the individuals confound phonologically similar words according to a predefined parameter. The main hypothesis is that there is a critical range of the parameter, and with this, of working-memory mechanisms, which implies drastic changes in the final consensus of the entire population. Theoretical results present proofs of convergence for a particular case of the model within a worst-case complexity framework. Computer simulations describe the evolution of an energy function that measures the amount of local agreement between individuals. The main finding is the appearance of sudden changes in the energy function at critical parameters.