



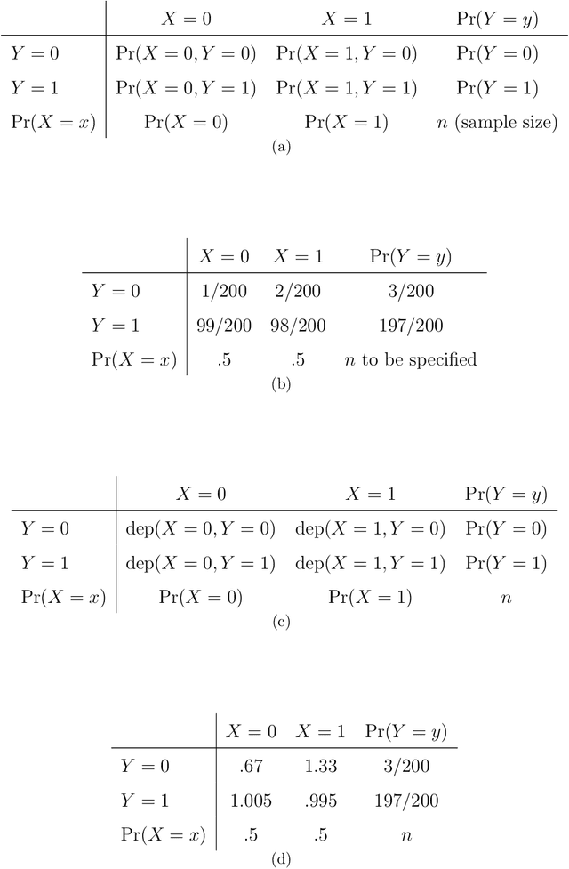
Breiman (2001) proposed to statisticians awareness of two cultures: 1. Parametric modeling culture, pioneered by R.A.Fisher and Jerzy Neyman; 2. Algorithmic predictive culture, pioneered by machine learning research. Parzen (2001), as a part of discussing Breiman (2001), proposed that researchers be aware of many cultures, including the focus of our research: 3. Nonparametric, quantile based, information theoretic modeling. We provide a unification of many statistical methods for traditional small data sets and emerging big data sets in terms of comparison density, copula density, measure of dependence, correlation, information, new measures (called LP score comoments) that apply to long tailed distributions with out finite second order moments. A very important goal is to unify methods for discrete and continuous random variables. Our research extends these methods to modern high dimensional data modeling.