


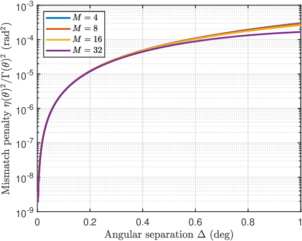
A framework is presented for analyzing the impact of active attacks to location-based physical layer authentication (PLA) using the machinery of misspecified Cramér--Rao bound (MCRB). In this work, we focus on the MCRB in the angle-of-arrival (AoA) based authentication of a single antenna user when the verifier posseses an $M$ antenna element uniform linear array (ULA), assuming deterministic pilot signals; in our system model the presence of a spoofing adversary with an arbitrary number $L$ of antenna elements is assumed. We obtain a closed-form expression for the MCRB and demonstrate that the attack introduces in it a penalty term compared to the classic CRB, which does not depend on the signal-to-noise ratio (SNR) but on the adversary's location, the array geometry and the attacker precoding vector.