



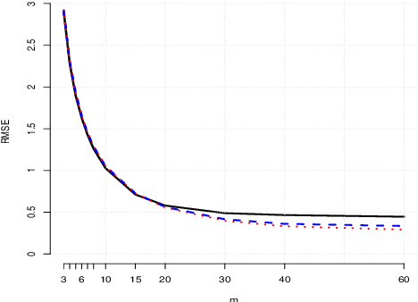
It is often of interest to estimate regression functions non-parametrically. Penalized regression (PR) is one statistically-effective, well-studied solution to this problem. Unfortunately, in many cases, finding exact solutions to PR problems is computationally intractable. In this manuscript, we propose a mesh-based approximate solution (MBS) for those scenarios. MBS transforms the complicated functional minimization of NPR, to a finite parameter, discrete convex minimization; and allows us to leverage the tools of modern convex optimization. We show applications of MBS in a number of explicit examples (including both uni- and multi-variate regression), and explore how the number of parameters must increase with our sample-size in order for MBS to maintain the rate-optimality of NPR. We also give an efficient algorithm to minimize the MBS objective while effectively leveraging the sparsity inherent in MBS.