


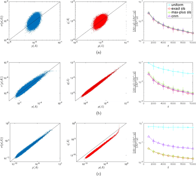
The statistical leverage scores of a complex matrix $A\in\mathbb{C}^{n\times d}$ record the degree of alignment between col$(A)$ and the coordinate axes in $\mathbb{C}^n$. These score are used in random sampling algorithms for solving certain numerical linear algebra problems. In this paper we present a max-plus algebraic analogue for statistical leverage scores. We show that max-plus statistical leverage scores can be used to calculate the exact asymptotic behavior of the conventional statistical leverage scores of a generic matrices of Puiseux series and also provide a novel way to approximate the conventional statistical leverage scores of a fixed or complex matrix. The advantage of approximating a complex matrices scores with max-plus scores is that the max-plus scores can be computed very quickly. This approximation is typically accurate to within an order or magnitude and should be useful in practical problems where the true scores are known to vary widely.