



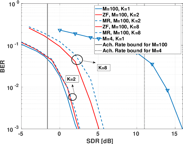
We consider massive multiple-input multiple-output (MIMO) systems in the presence of Cauchy noise. First, we focus on the channel estimation problem. In the standard massive MIMO setup, the users transmit orthonormal pilots during the training phase and the received signal at the base station is projected onto each pilot. This processing is optimum when the noise is Gaussian. We show that this processing is not optimal when the noise is Cauchy and as a remedy propose a channel estimation technique that operates on the raw received signal. Second, we derive uplink-downlink achievable rates in the presence of Cauchy noise for perfect and imperfect channel state information. Finally, we derive log-likelihood ratio expressions for soft bit detection for both uplink and downlink, and simulate coded bit-error-rate curves. In addition to this, we derive and compare the symbol detectors in the presence of both Gaussian and Cauchy noises. An important observation is that the detector constructed for Cauchy noise performs well with both Gaussian and Cauchy noises; on the other hand, the detector for Gaussian noise works poorly in the presence of Cauchy noise. That is, the Cauchy detector is robust against heavy-tailed noise, whereas the Gaussian detector is not.