



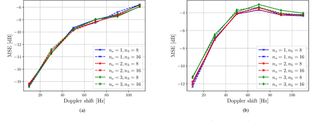
Channel state information (CSI) rapidly becomes outdated in high mobility scenarios, degrading the performance of wireless communication systems. In these cases, time series prediction techniques can be applied to combat the effects of outdated CSI. Recently, it has been shown that recurrent neural networks (RNNs) exhibit outstanding performance in time series prediction tasks. In this paper, we investigate the performance of RNN and long short term memory (LSTM) predictors in a simple Rayleigh flat-fading channel. We conduct numerical experiments to evaluate whether these machine-learning (ML)-based predictors can outperform the optimal linear minimum mean square error Wiener predictor. Our simulation results indicate that the considered neural network predictors outperform the Wiener predictor for small observation window lengths and are more robust under weak channel correlation as well as in the presence of noise. Furthermore, we show that simple shallow RNNs are sufficient to model Rayleigh channels over a wide range of Doppler shifts.