



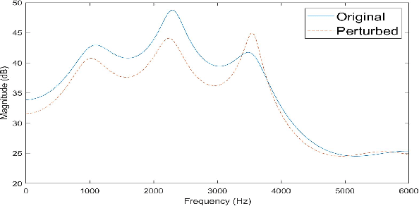
This paper proposes a novel linear prediction coding-based data aug-mentation method for children's low and zero resource dialect ASR. The data augmentation procedure consists of perturbing the formant peaks of the LPC spectrum during LPC analysis and reconstruction. The method is evaluated on two novel children's speech datasets with one containing California English from the Southern CaliforniaArea and the other containing a mix of Southern American English and African American English from the Atlanta, Georgia area. We test the proposed method in training both an HMM-DNN system and an end-to-end system to show model-robustness and demonstrate that the algorithm improves ASR performance, especially for zero resource dialect children's task, as compared to common data augmentation methods such as VTLP, Speed Perturbation, and SpecAugment.