



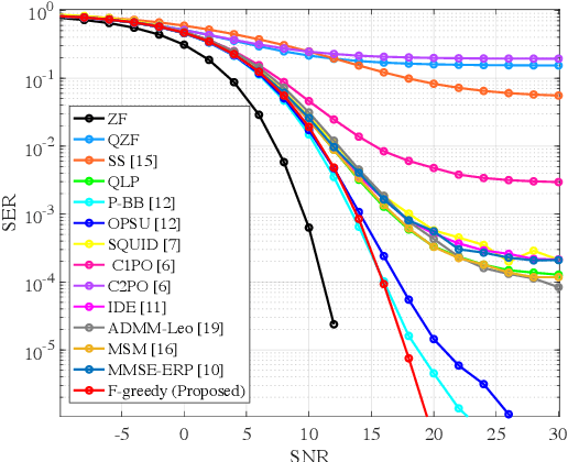
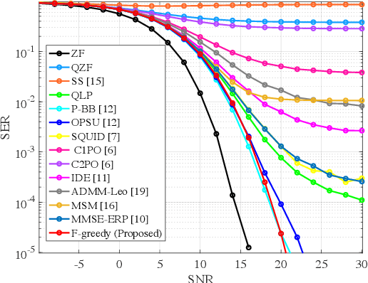
This study proposes the construction of a transmit signal for large-scale antenna systems with cost-effective 1-bit digital-to-analog converters in the downlink. Under quadrature-amplitude-modulation constellations, it is still an open problem to overcome a severe error floor problem caused by its nature property. To this end, we first present a feasibility condition which guarantees that each user's noiseless signal is placed in the desired decision region. For robustness to additive noise, we formulate an optimization problem, we then transform the feasibility conditions to cascaded matrix form. We propose a low-complexity algorithm to generate a 1-bit transmit signal based on the proposed optimization problem formulated as a well-defined mixed-integer-linear-programming. Numerical results validate the superiority of the proposed method in terms of detection performance and computational complexity.