



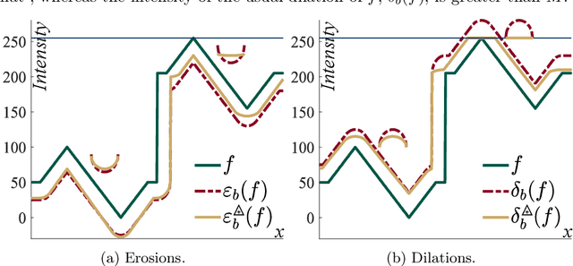
Morphological neural networks allow to learn the weights of a structuring function knowing the desired output image. However, those networks are not intrinsically robust to lighting variations in images with an optical cause, such as a change of light intensity. In this paper, we introduce a morphological neural network which possesses such a robustness to lighting variations. It is based on the recent framework of Logarithmic Mathematical Morphology (LMM), i.e. Mathematical Morphology defined with the Logarithmic Image Processing (LIP) model. This model has a LIP additive law which simulates in images a variation of the light intensity. We especially learn the structuring function of a LMM operator robust to those variations, namely : the map of LIP-additive Asplund distances. Results in images show that our neural network verifies the required property.