



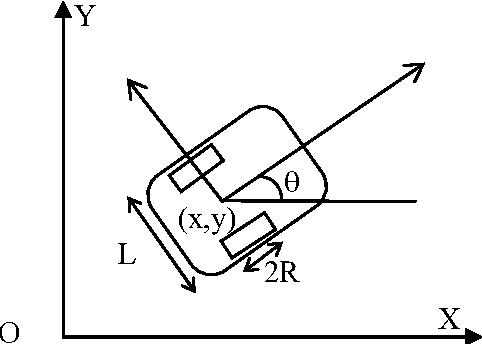
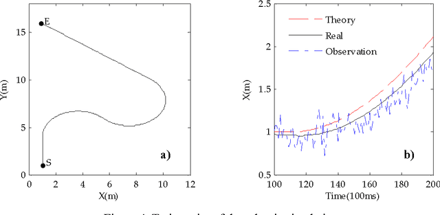
This paper presents a new optimal filter namely past observation-based extended Kalman filter for the problem of localization of Internet-based mobile robot in which the control input and the feedback measurement suffer from communication delay. The filter operates through two phases: the time update and the data correction. The time update predicts the robot position by reformulating the kinematics model to be non-memoryless. The correction step corrects the prediction by extrapolating the delayed measurement to the present and then incorporating it to the being estimate as there is no delay. The optimality of the incorporation is ensured by the derivation of a multiplier that reflects the relevance of past observations to the present. Simulations in MATLAB and experiments in a real networked robot system confirm the validity of the proposed approach.