



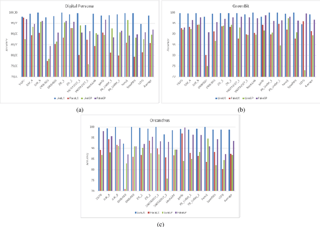
Fingerprint Presentation Attack Detection (FPAD) deals with distinguishing images coming from artificial replicas of the fingerprint characteristic, made up of materials like silicone, gelatine or latex, and images coming from alive fingerprints. Images are captured by modern scanners, typically relying on solid-state or optical technologies. Since from 2009, the Fingerprint Liveness Detection Competition (LivDet) aims to assess the performance of the state-of-the-art algorithms according to a rigorous experimental protocol and, at the same time, a simple overview of the basic achievements. The competition is open to all academics research centers and all companies that work in this field. The positive, increasing trend of the participants number, which supports the success of this initiative, is confirmed even this year: 17 algorithms were submitted to the competition, with a larger involvement of companies and academies. This means that the topic is relevant for both sides, and points out that a lot of work must be done in terms of fundamental and applied research.