



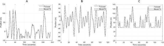
Low-cost teleguidance of medical procedures is becoming essential to provide healthcare to remote and underserved communities. Human teleoperation is a promising new method for guiding a novice person with relatively high precision and efficiency through a mixed reality (MR) interface. Prior work has shown that the novice, or "follower", can reliably track the MR input with performance not unlike a telerobotic system. As a consequence, it is of interest to understand and control the follower's dynamics to optimize the system performance and permit stable and transparent bilateral teleoperation. To this end, linearity, time-invariance, inter-axis coupling, and passivity are important in teleoperation and controller design. This paper therefore explores these effects with regard to the follower person in human teleoperation. It is demonstrated through modeling and experiments that the follower can indeed be treated as approximately linear and time invariant, with little coupling and a large excess of passivity at practical frequencies. Furthermore, a stochastic model of the follower dynamics is derived. These results will permit controller design and analysis to improve the performance of human teleoperation.