



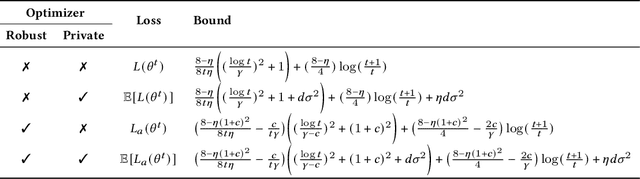
We study the difficulties in learning that arise from robust and differentially private optimization. We first study convergence of gradient descent based adversarial training with differential privacy, taking a simple binary classification task on linearly separable data as an illustrative example. We compare the gap between adversarial and nominal risk in both private and non-private settings, showing that the data dimensionality dependent term introduced by private optimization compounds the difficulties of learning a robust model. After this, we discuss what parts of adversarial training and differential privacy hurt optimization, identifying that the size of adversarial perturbation and clipping norm in differential privacy both increase the curvature of the loss landscape, implying poorer generalization performance.