



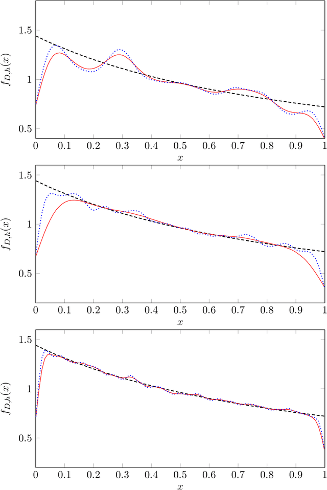
We study the density estimation problem with observations generated by certain dynamical systems that admit a unique underlying invariant Lebesgue density. Observations drawn from dynamical systems are not independent and moreover, usual mixing concepts may not be appropriate for measuring the dependence among these observations. By employing the $\mathcal{C}$-mixing concept to measure the dependence, we conduct statistical analysis on the consistency and convergence of the kernel density estimator. Our main results are as follows: First, we show that with properly chosen bandwidth, the kernel density estimator is universally consistent under $L_1$-norm; Second, we establish convergence rates for the estimator with respect to several classes of dynamical systems under $L_1$-norm. In the analysis, the density function $f$ is only assumed to be H\"{o}lder continuous which is a weak assumption in the literature of nonparametric density estimation and also more realistic in the dynamical system context. Last but not least, we prove that the same convergence rates of the estimator under $L_\infty$-norm and $L_1$-norm can be achieved when the density function is H\"{o}lder continuous, compactly supported and bounded. The bandwidth selection problem of the kernel density estimator for dynamical system is also discussed in our study via numerical simulations.