



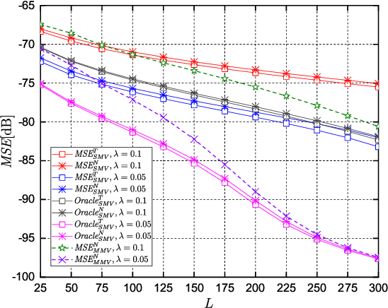
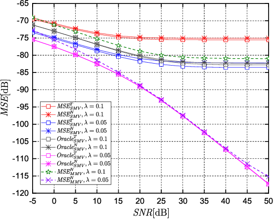
Cell-free massive MIMO is one of the key technologies for future wireless communications, in which users are simultaneously and jointly served by all access points (APs). In this paper, we investigate the minimum mean square error (MMSE) estimation of effective channel coefficients in cell-free massive MIMO systems with massive connectivity. To facilitate the theoretical analysis, only single measurement vector (SMV) based MMSE estimation is considered in this paper, i.e., the MMSE estimation is performed based on the received pilot signals at each AP separately. Inspired by the decoupling principle of replica symmetric postulated MMSE estimation of sparse signal vectors with independent and identically distributed (i.i.d.) non-zero components, we develop the corresponding decoupling principle for the SMV based MMSE estimation of sparse signal vectors with independent and non-identically distributed (i.n.i.d.) non-zero components, which plays a key role in the theoretical analysis of SMV based MMSE estimation of the effective channel coefficients in cell-free massive MIMO systems with massive connectivity. Subsequently, based on the obtained decoupling principle of MMSE estimation, likelihood ratio test and the optimal fusion rule, we perform user activity detection based on the received pilot signals at only one AP, or cooperation among the entire set of APs for centralized or distributed detection. Via theoretical analysis, we show that the error probabilities of both centralized and distributed detection tend to zero when the number of APs tends to infinity while the asymptotic ratio between the number of users and pilots is kept constant. We also investigate the asymptotic behavior of oracle estimation in cell-free massive MIMO systems with massive connectivity via random matrix theory.