


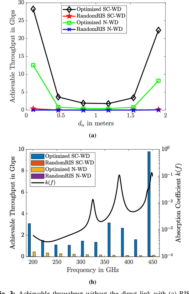
The operation of Terahertz (THz) communication can be significantly impacted by the interaction between the transmitted wave and the molecules in the atmosphere. In particular, it has been observed experimentally that the signal undergoes not only molecular absorption, but also molecular re-radiation. Two extreme modeling assumptions are prevalent in the literature, where the re-radiated energy is modeled in the first as additive Gaussian noise and in the second as a scattered component strongly correlated to the actual signal. Since the exact characterization is still an open problem, we provide in this paper the first comparative study of the performance of a reconfigurable intelligent surface (RIS) assisted THz system under these two extreme models of re-radiation. In particular, we employ an RIS to overcome the large pathloss by creating a virtual line-of-sight (LOS) path. We then develop an optimization framework for this setup and utilize the block-coordinate descent (BCD) method to iteratively optimize both RIS configuration vector and receive beamforming weight resulting in significant throughput gains for the user of interest compared to random RIS configurations. As expected, our results reveal that better throughput is achieved under the scattering assumption for the molecular re-radiation than the noise assumption.