



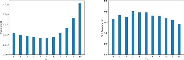
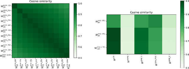
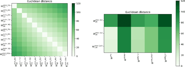
Lottery ticket hypothesis for deep neural networks emphasizes the importance of initialization used to re-train the sparser networks obtained using the iterative magnitude pruning process. An explanation for why the specific initialization proposed by the lottery ticket hypothesis tends to work better in terms of generalization (and training) performance has been lacking. Moreover, the underlying principles in iterative magnitude pruning, like the pruning of smaller magnitude weights and the role of the iterative process, lack full understanding and explanation. In this work, we attempt to provide insights into these phenomena by empirically studying the volume/geometry and loss landscape characteristics of the solutions obtained at various stages of the iterative magnitude pruning process.