



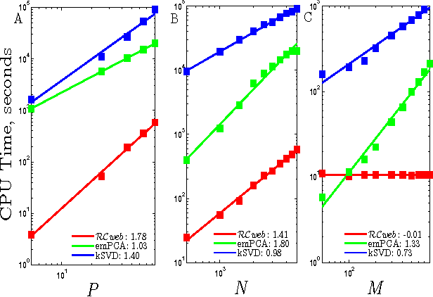
Networks are a unifying framework for modeling complex systems and network inference problems are frequently encountered in many fields. Here, I develop and apply a generative approach to network inference (RCweb) for the case when the network is sparse and the latent (not observed) variables affect the observed ones. From all possible factor analysis (FA) decompositions explaining the variance in the data, RCweb selects the FA decomposition that is consistent with a sparse underlying network. The sparsity constraint is imposed by a novel method that significantly outperforms (in terms of accuracy, robustness to noise, complexity scaling, and computational efficiency) Bayesian methods and MLE methods using l1 norm relaxation such as K-SVD and l1--based sparse principle component analysis (PCA). Results from simulated models demonstrate that RCweb recovers exactly the model structures for sparsity as low (as non-sparse) as 50% and with ratio of unobserved to observed variables as high as 2. RCweb is robust to noise, with gradual decrease in the parameter ranges as the noise level increases.