


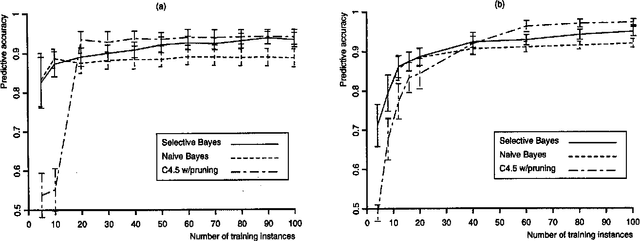
In this paper, we examine previous work on the naive Bayesian classifier and review its limitations, which include a sensitivity to correlated features. We respond to this problem by embedding the naive Bayesian induction scheme within an algorithm that c arries out a greedy search through the space of features. We hypothesize that this approach will improve asymptotic accuracy in domains that involve correlated features without reducing the rate of learning in ones that do not. We report experimental results on six natural domains, including comparisons with decision-tree induction, that support these hypotheses. In closing, we discuss other approaches to extending naive Bayesian classifiers and outline some directions for future research.