



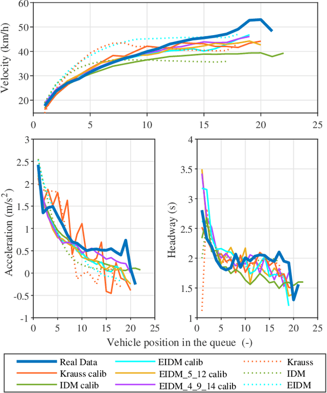
Microscopic traffic simulations are used to evaluate the impact of infrastructure modifications and evolving vehicle technologies, such as connected and automated driving. Simulated vehicles are controlled via car-following, lane-changing and junction models, which are designed to imitate human driving behavior. However, physics-based car-following models (CFMs) cannot fully replicate measured vehicle trajectories. Therefore, we present model extensions for the Intelligent Driver Model (IDM), of which some are already included in the Extended Intelligent Driver Model (EIDM), to improve calibration and validation results. They consist of equations based on vehicle dynamics and drive off procedures. In addition, parameter selection plays a decisive role. Thus, we introduce a framework to calibrate CFMs using drone data captured at a signalized intersection in Stuttgart, Germany. We compare the calibration error of the Krauss Model with the IDM and EIDM. In this setup, the EIDM achieves a 17.78 % lower mean error than the IDM, based on the distance difference between real world and simulated vehicles. Adding vehicle dynamics equations to the EIDM further improves the results by an additional 18.97 %. The calibrated vehicle-driver combinations are then investigated by simulating the traffic in three different scenarios: at the original intersection, in a closed loop and in a stop-and-go wave. The data shows that the improved calibration process of individual vehicles, openly available at https://www.github.com/stepeos/pycarmodel_calibration, also provides more accurate macroscopic results.