



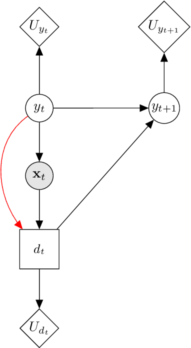
Gaining the ability to make informed decisions on operation and maintenance of structures provides motivation for the implementation of structural health monitoring (SHM) systems. However, descriptive labels for measured data corresponding to health-states of the monitored system are often unavailable. This issue limits the applicability of fully-supervised machine learning paradigms for the development of statistical classifiers to be used in decision-support in SHM systems. One approach to dealing with this problem is risk-based active learning. In such an approach, data-label querying is guided according to the expected value of perfect information for incipient data points. For risk-based active learning in SHM, the value of information is evaluated with respect to a maintenance decision process, and the data-label querying corresponds to the inspection of a structure to determine its health state. In the context of SHM, risk-based active learning has only been considered for generative classifiers. The current paper demonstrates several advantages of using an alternative type of classifier -- discriminative models. Using the Z24 Bridge dataset as a case study, it is shown that discriminative classifiers have benefits, in the context of SHM decision-support, including improved robustness to sampling bias, and reduced expenditure on structural inspections.