



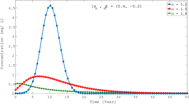
Fractional Brownian motion (fBm) is a ubiquitous diffusion process in which the memory effects of the stochastic transport result in the mean squared particle displacement following a power law, $\langle {\Delta r}^2 \rangle \sim t^{\alpha}$, where the diffusion exponent $\alpha$ characterizes whether the transport is subdiffusive, ($\alpha<1$), diffusive ($\alpha = 1$), or superdiffusive, ($\alpha >1$). Due to the abundance of fBm processes in nature, significant efforts have been devoted to the identification and characterization of fBm sources in various phenomena. In practice, the identification of the fBm sources often relies on solving a complex and ill-posed inverse problem based on limited observed data. In the general case, the detected signals are formed by an unknown number of release sources, located at different locations and with different strengths, that act simultaneously. This means that the observed data is composed of mixtures of releases from an unknown number of sources, which makes the traditional inverse modeling approaches unreliable. Here, we report an unsupervised learning method, based on Nonnegative Matrix Factorization, that enables the identification of the unknown number of release sources as well the anomalous diffusion characteristics based on limited observed data and the general form of the corresponding fBm Green's function. We show that our method performs accurately for different types of sources and configurations with a predetermined number of sources with specific characteristics and introduced noise.