



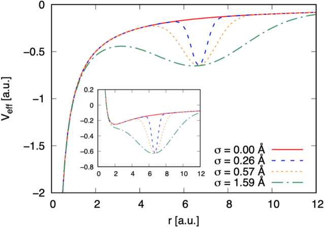
In this work, we consider the hydrogen atom confined inside a penetrable spherical potential. The confining potential is described by an inverted-Gaussian function of depth $\omega_0$, width $\sigma$ and centered at $r_c$. In particular, this model has been used to study atoms inside a $C_{60}$ fullerene. For the lowest values of angular momentum $l=0,1,2$, the spectra of the system as a function of the parameters ($\omega_0,\sigma,r_c$) is calculated using three distinct numerical methods: (i) Lagrange-mesh method, (ii) fourth order finite differences and (iii) the finite element method. Concrete results with not less than 11 significant figures are displayed. Also, within the Lagrange-mesh approach the corresponding eigenfunctions and the expectation value of $r$ for the first six states of $s, p$ and $d$ symmetries, respectively, are presented. Our accurate energies are taken as initial data to train an artificial neural network as well. It generates an efficient numerical interpolation. The present numerical results improve and extend those reported in the literature.