



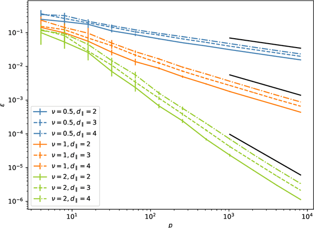
We investigate how the training curve of isotropic kernel methods depends on the symmetry of the task to be learned, in several settings. (i) We consider a regression task, where the target function is a Gaussian random field that depends only on $d_\parallel$ variables, fewer than the input dimension $d$. We compute the expected test error $\epsilon$ that follows $\epsilon\sim p^{-\beta}$ where $p$ is the size of the training set. We find that $\beta\sim\frac{1}{d}$ independently of $d_\parallel$, supporting previous findings that the presence of invariants does not resolve the curse of dimensionality for kernel regression. (ii) Next we consider support-vector binary classification and introduce the {\it stripe model} where the data label depends on a single coordinate $y(\underline x) = y(x_1)$, corresponding to parallel decision boundaries separating labels of different signs, and consider that there is no margin at these interfaces. We argue and confirm numerically that for large bandwidth, $\beta = \frac{d-1+\xi}{3d-3+\xi}$, where $\xi\in (0,2)$ is the exponent characterizing the singularity of the kernel at the origin. This estimation improves classical bounds obtainable from Rademacher complexity. In this setting there is no curse of dimensionality since $\beta\rightarrow\frac{1}{3}$ as $d\rightarrow\infty$. (iii) We confirm these findings for the {\it spherical model} for which $y(\underline x) = y(|\!|\underline x|\!|)$. (iv) In the stripe model, we show that if the data are compressed along their invariants by some factor $\lambda$ (an operation believed to take place in deep networks), the test error is reduced by a factor $\lambda^{-\frac{2(d-1)}{3d-3+\xi}}$.