



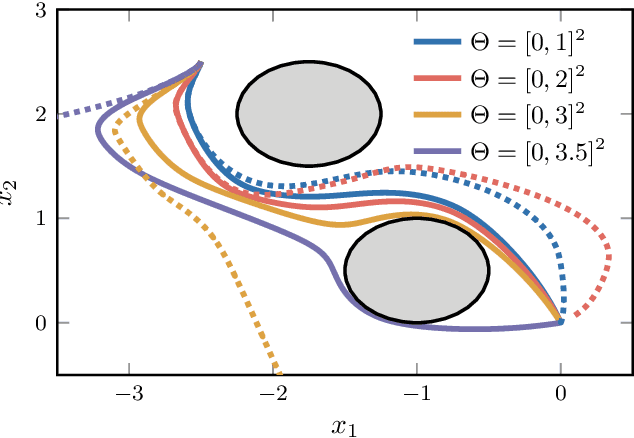
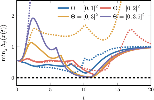
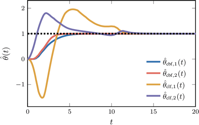
This paper studies the problem of utilizing data-driven adaptive control techniques to guarantee stability and safety of uncertain nonlinear systems with high relative degree. We first introduce the notion of a High Order Robust Adaptive Control Barrier Function (HO-RaCBF) as a means to compute control policies guaranteeing satisfaction of high relative degree safety constraints in the face of parametric model uncertainty. The developed approach guarantees safety by initially accounting for all possible parameter realizations but adaptively reduces uncertainty in the parameter estimates leveraging data recorded online. We then introduce the notion of an Exponentially Stabilizing Adaptive Control Lyapunov Function (ES-aCLF) that leverages the same data as the HO-RaCBF controller to guarantee exponential convergence of the system trajectory. The developed HO-RaCBF and ES-aCLF are unified in a quadratic programming framework, whose efficacy is showcased via two numerical examples that, to our knowledge, cannot be addressed by existing adaptive control barrier function techniques.