



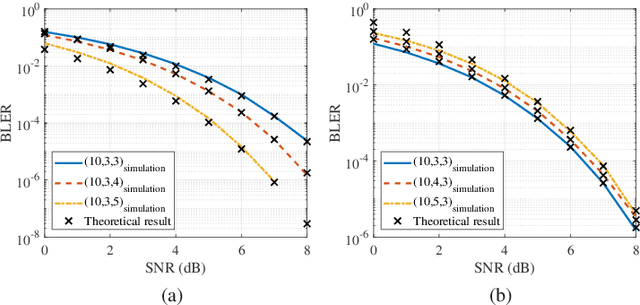
In this study, a novel coding scheme called highdensity coding based on high-density codebooks using a genetic local search algorithm is proposed. The high-density codebook maximizes the energy transfer capability by maximizing the ratio of 1 in the codebook while satisfying the conditions of a codeword with length n, a codebook with 2k codewords, and a minimum Hamming distance of the codebook of d. Furthermore, the proposed high-density codebook provides a trade-off between the throughput and harvested energy with respect to n, k, and d. The block error rate performances of the designed highdensity codebooks are derived theoretically and compared with the simulation results. The simulation results indicate that as d and k decrease, the throughput decreases by a maximum of 10% and 40%, whereas the harvested energy per time increases by a maximum of 40% and 100%, respectively. When n increases, the throughput decreases by a maximum of 30%, while the harvested energy per time increases by a maximum of 110%. With the proposed high-density coding scheme, the throughput and harvested energy at the user can be controlled adaptively according to the system requirements.