



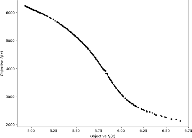
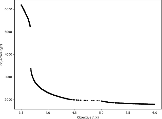
This contribution introduces the GTOPX space mission benchmark collection, which is an extension of GTOP database published by the European Space Agency (ESA). GTOPX consists of ten individual benchmark instances representing real-world interplanetary space trajectory design problems. In regard to the original GTOP collection, GTOPX includes three new problem instances featuring mixed-integer and multi-objective properties. GTOPX enables a simplified user handling, unified benchmark function call and some minor bug corrections to the original GTOP implementation. Furthermore, GTOPX is linked from it's original C++ source code to Python and Matlab based on dynamic link libraries, assuring computationally fast and accurate reproduction of the benchmark results in all three programming languages. Space mission trajectory design problems as those represented in GTOPX are known to be highly non-linear and difficult to solve. The GTOPX collection, therefore, aims particularly at researchers wishing to put advanced (meta)heuristic and hybrid optimization algorithms to the test. The goal of this paper is to provide researchers with a manual and reference to the newly available GTOPX benchmark software.