
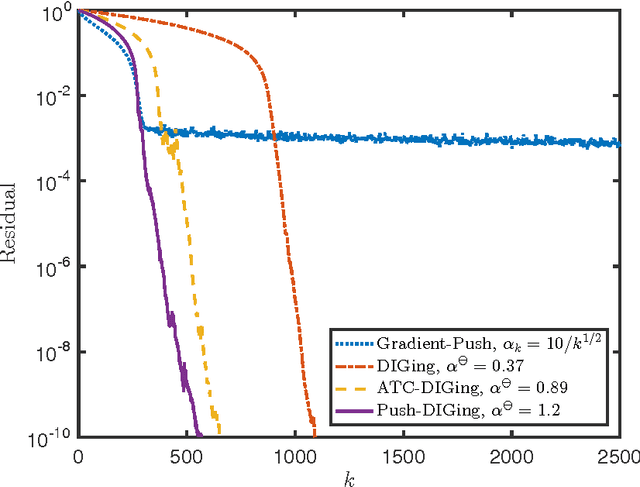
A recent algorithmic family for distributed optimization, DIGing's, have been shown to have geometric convergence over time-varying undirected/directed graphs. Nevertheless, an identical step-size for all agents is needed. In this paper, we study the convergence rates of the Adapt-Then-Combine (ATC) variation of the DIGing algorithm under uncoordinated step-sizes. We show that the ATC variation of DIGing algorithm converges geometrically fast even if the step-sizes are different among the agents. In addition, our analysis implies that the ATC structure can accelerate convergence compared to the distributed gradient descent (DGD) structure which has been used in the original DIGing algorithm.