



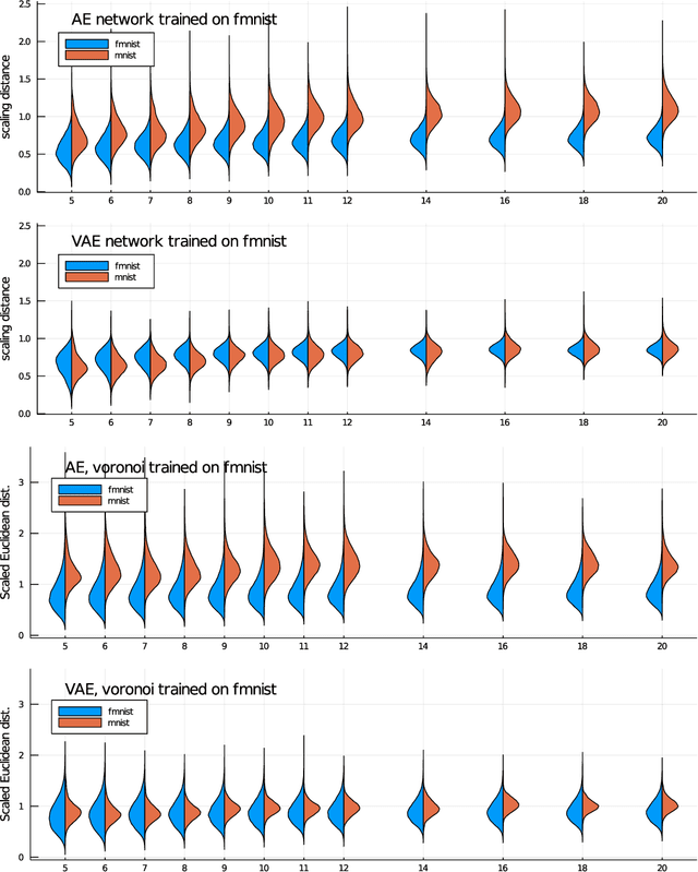
Finding and analyzing meaningful representations of data is the purpose of machine learning. The idea of representation learning is to extract representations from the data itself, e.g., by utilizing deep neural networks. In this work, we examine representation learning from a geometric perspective. Especially, we focus on the convexity of classes and clusters as a natural and desirable representation property, for which robust and scalable measures are still lacking. To address this, we propose a new approach called Random Polytope Descriptor that allows a convex description of data points based on the construction of random convex polytopes. This ties in with current methods for statistical disentanglement. We demonstrate the use of our technique on well-known deep learning methods for representation learning. Specifically we find that popular regularization variants such as the Variational Autoencoder can destroy crucial information that is relevant for tasks such as out-of-distribution detection.