

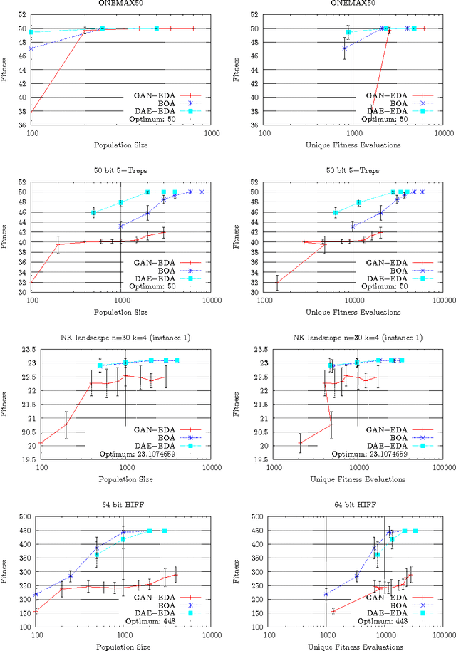
Estimation of Distribution Algorithms (EDAs) require flexible probability models that can be efficiently learned and sampled. Generative Adversarial Networks (GAN) are generative neural networks which can be trained to implicitly model the probability distribution of given data, and it is possible to sample this distribution. We integrate a GAN into an EDA and evaluate the performance of this system when solving combinatorial optimization problems with a single objective. We use several standard benchmark problems and compare the results to state-of-the-art multivariate EDAs. GAN-EDA doe not yield competitive results - the GAN lacks the ability to quickly learn a good approximation of the probability distribution. A key reason seems to be the large amount of noise present in the first EDA generations.