

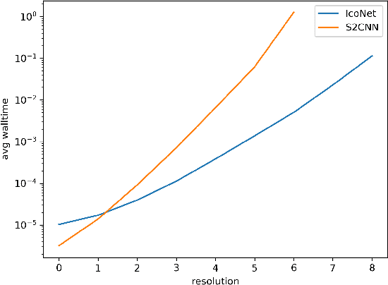
The idea of equivariance to symmetry transformations provides one of the first theoretically grounded principles for neural network architecture design. Equivariant networks have shown excellent performance and data efficiency on vision and medical imaging problems that exhibit symmetries. Here we show how this principle can be extended beyond global symmetries to local gauge transformations, thereby enabling the development of equivariant convolutional networks on general manifolds. We implement gauge equivariant CNNs for signals defined on the icosahedron, which provides a reasonable approximation of spherical signals. By choosing to work with this very regular manifold, we are able to implement the gauge equivariant convolution using a single conv2d call, making it a highly scalable and practical alternative to Spherical CNNs. We evaluate the Icosahedral CNN on omnidirectional image segmentation and climate pattern segmentation, and find that it outperforms previous methods.