



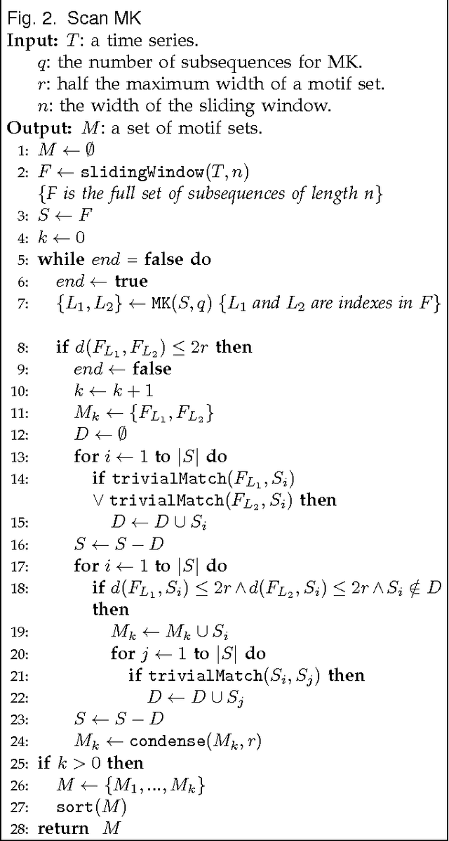
Time-series motifs are representative subsequences that occur frequently in a time series; a motif set is the set of subsequences deemed to be instances of a given motif. We focus on finding motif sets. Our motivation is to detect motif sets in household electricity-usage profiles, representing repeated patterns of household usage. We propose three algorithms for finding motif sets. Two are greedy algorithms based on pairwise comparison, and the third uses a heuristic measure of set quality to find the motif set directly. We compare these algorithms on simulated datasets and on electricity-usage data. We show that Scan MK, the simplest way of using the best-matching pair to find motif sets, is less accurate on our synthetic data than Set Finder and Cluster MK, although the latter is very sensitive to parameter settings. We qualitatively analyse the outputs for the electricity-usage data and demonstrate that both Scan MK and Set Finder can discover useful motif sets in such data.