

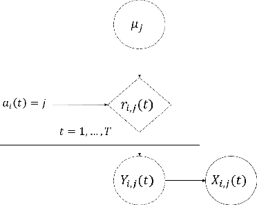
In this paper, we are interested in what we term the federated private bandits framework, that combines differential privacy with multi-agent bandit learning. We explore how differential privacy based Upper Confidence Bound (UCB) methods can be applied to multi-agent environments, and in particular to federated learning environments both in `master-worker' and `fully decentralized' settings. We provide a theoretical analysis on the privacy and regret performance of the proposed methods and explore the tradeoffs between these two.