



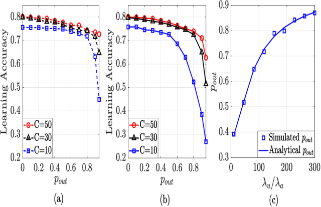
Federated learning (FL) is a promising distributed learning technique particularly suitable for wireless learning scenarios since it can accomplish a learning task without raw data transportation so as to preserve data privacy and lower network resource consumption. However, current works on FL over wireless communication do not profoundly study the fundamental performance of FL that suffers from data delivery outage due to network interference and data heterogeneity among mobile clients. To accurately exploit the performance of FL over wireless communication, this paper proposes a new FL model over a cellular-connected unmanned aerial vehicle (UAV) network, which characterizes data delivery outage from UAV clients to their server and data heterogeneity among the datasets of UAV clients. We devise a simulation-based approach to evaluating the convergence performance of the proposed FL model. We then propose a tractable analytical framework of the uplink outage probability in the cellular-connected UAV network and derive a neat expression of the uplink outage probability, which reveals how the proposed FL model is impacted by data delivery outage and UAV deployment. Extensive numerical simulations are conducted to show the consistency between the estimated and simulated performances.