



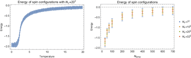
We study the features extracted by the Restricted Boltzmann Machine (RBM) when it is trained with spin configurations of Ising model at various temperatures. Using the trained RBM, we obtain the flow of iterative reconstructions (RBM flow) of the spin configurations and find that in some cases the flow approaches the phase transition point $T=T_c$ in Ising model. Since the extracted features are emphasized in the reconstructed configurations, the configurations at such a fixed point should describe nothing but the extracted features. Then we investigate the dependence of the fixed point on various parameters and conjecture the condition where the fixed point of the RBM flow is at the phase transition point. We also provide supporting evidence for the conjecture by analyzing the weight matrix of the trained RBM.