



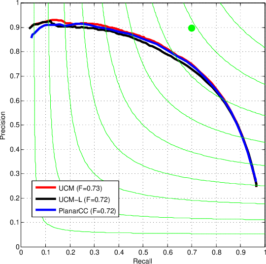
We describe a new optimization scheme for finding high-quality correlation clusterings in planar graphs that uses weighted perfect matching as a subroutine. Our method provides lower-bounds on the energy of the optimal correlation clustering that are typically fast to compute and tight in practice. We demonstrate our algorithm on the problem of image segmentation where this approach outperforms existing global optimization techniques in minimizing the objective and is competitive with the state of the art in producing high-quality segmentations.